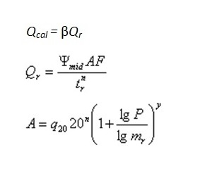
Berekening van de oppervlakte-afvoer stelt u in staat nauwkeurige gegevens te verkrijgen die nodig zijn om zuiveringsinstallaties met de juiste capaciteit te bestellen. Dankzij ons algoritme voor het berekenen van het volume afvalwater is de berekening in seconden gemaakt.
Deze pagina biedt een gratis programma voor het berekenen van de regenwaterstroom in stormriolen volgens de geldende bouwvoorschriften.
Berekening van regenwater in de opvangbak
De formule voor het berekenen:
